Calculate Limits & Determine Convergence: Your Guide!

I.Collectivacademy 100 views
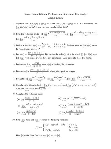
Calculate Limits & Determine Convergence: Your Guide!

Calculate Limits & Determine Convergence: Your Guide!

Hey there, math enthusiasts! Ever found yourself staring at a problem involving limits and convergence and feeling a bit lost? Don’t worry, you’re not alone! These concepts are fundamental in calculus, and understanding them is key to unlocking a whole world of mathematical possibilities. This guide is designed to break down the process of calculating limits and determining convergence , making it all super easy to grasp. We’ll explore the core ideas, give you some handy tips and tricks, and walk through examples to ensure you’re well-equipped to tackle these concepts with confidence. Let’s get started, shall we?

What Exactly are Limits? Understanding the Basics

Alright, guys, let’s dive into what limits are all about. Think of a limit as the value that a function or sequence approaches as the input (like ‘x’) gets closer and closer to a certain value. It’s like zooming in on a specific point to see what’s happening just before you get there. The limit doesn’t necessarily have to equal the actual value of the function at that point – it’s all about the behavior as you get infinitely close . This concept forms the foundation of calculus and helps us understand how functions behave near points where they might be undefined or undergoing changes. Knowing limits allows us to analyze rates of change, areas under curves, and so much more.

So, why is this important? Well, calculating limits allows us to analyze the behavior of functions at specific points. Consider a function that has a hole at a particular point. The limit helps us understand what value the function would have if the hole were filled. This is essential for understanding continuity, which is a core concept in calculus. Moreover, the limit concept is crucial for defining derivatives and integrals, the main tools we use to understand the rate of change and the accumulation of quantities, respectively. Mastering this concept gives you a solid foundation for tackling advanced mathematical topics.

Now, let’s consider a function. A function f(x) has a limit L as x approaches a, which is written as lim (x→a) f(x) = L. This means that as x gets closer and closer to a, the values of f(x) get closer and closer to L. It is super important to note that the function doesn’t necessarily have to be defined at x=a for the limit to exist. For instance, think about the function f(x) = (x^2 - 1) / (x - 1). This function is not defined at x = 1, because that will result in division by zero. However, we can still determine the limit as x approaches 1. The limit will exist if the function approaches the same value from both sides (left and right). We’ll get into the actual calculation methods a bit later; keep reading!

Convergence: Does it Head Somewhere?

So, we’ve talked about limits, and now it’s time to understand convergence . In simple terms, convergence refers to whether a sequence or a series of numbers gets closer and closer to a particular value as you go further and further along the sequence or series. If it does , we say the sequence or series is convergent; otherwise, it’s divergent. This is super important when dealing with infinite sums and sequences.

Think about it like this: Imagine you’re walking towards a destination. If you keep getting closer and closer to that destination, then you’re converging . If, on the other hand, you’re wandering around randomly and never getting anywhere specific, then you’re diverging . The ability to determine whether a sequence or series converges is fundamental in many areas of mathematics and its applications. For instance, in real analysis, the convergence of sequences and series is the base for defining and studying the properties of functions, and for developing methods for approximating solutions to complex problems.

There are many tests available to determine if a series converges. Some examples are: the ratio test, the root test, the integral test, and comparison tests. Each of these tests provides a set of criteria that can be checked to figure out if the sequence or series converges. For instance, the ratio test uses the ratio of successive terms, and if this ratio’s absolute value is less than 1, the series converges. Understanding and knowing how to apply these tests will be super crucial for you as you dive deeper into this subject. If a series converges, then there is a finite limit. If a series diverges, then it doesn’t converge to a finite value. In the context of series, we are often asking whether their infinite sums make sense or not.

Calculation Techniques: Your Toolkit for Finding Limits

Alright, now that we understand the basics, let’s talk about the cool methods to calculate those limits . There are several techniques you can use, and the best choice depends on the specific function or sequence you’re dealing with. Here are some of the most common ones to help you along the way.

  1. Direct Substitution : This is the most straightforward method. If the function is continuous at the point where you’re finding the limit, just plug in the value! For instance, if you want to find lim (x→2) (x^2 + 3x - 1), you can just substitute x = 2 into the function and get 2^2 + 3*2 - 1 = 9. This will be your answer. Easy peasy, right?
  2. Factoring : Sometimes, you’ll encounter functions with indeterminate forms, like 0/0. This often happens when you’re trying to find the limit at a point where the function is undefined. In these cases, factoring can be your best friend. Factor the numerator and denominator, simplify the function (if possible), and then try direct substitution again. For example, if you have lim (x→1) (x^2 - 1) / (x - 1), you’ll first notice that direct substitution yields 0/0. Factor the numerator into (x - 1)(x + 1) and cancel out the (x - 1) terms. The simplified function becomes x + 1. Now, you can substitute x = 1, and the limit is 2.
  3. Rationalization : This technique is particularly useful when you have radical expressions. Multiply both the numerator and denominator by the conjugate to get rid of the radicals. For instance, if you have lim (x→0) (√(x + 4) - 2) / x, multiply by the conjugate of the numerator (√(x + 4) + 2) / (√(x + 4) + 2). This will simplify the numerator, allowing you to find the limit.
  4. L’Hôpital’s Rule : This powerful rule comes into play when you have indeterminate forms like 0/0 or ∞/∞. If you get one of those, take the derivative of the numerator and the derivative of the denominator separately, and then try taking the limit again. For example, to find lim (x→0) sin(x) / x, you’ll get 0/0 using direct substitution. Use L’Hôpital’s rule by taking the derivative of sin(x), which is cos(x), and the derivative of x, which is 1. Now, the limit becomes lim (x→0) cos(x) / 1, which equals 1.

Mastering these techniques will give you a solid foundation for finding limits in various types of problems. Remember to always try direct substitution first. If that doesn’t work, then consider factoring, rationalizing, or applying L’Hôpital’s rule if the conditions are met. Practice is key, so keep working through examples and you’ll get the hang of it.

Convergence Tests: Determine if the Series Heads Somewhere

Determining convergence is just as important as calculating limits. It lets us know if an infinite series adds up to a finite number. Here are a few important tests you can use to determine if a series converges or diverges. These tools will help you to analyze the behavior of series and understand whether their infinite sums have a definite value.

  1. The Ratio Test : The ratio test is useful for series involving factorials and exponential terms. It involves taking the limit of the ratio of successive terms in the series. If the absolute value of this limit is less than 1, the series converges; if it’s greater than 1, the series diverges; and if it equals 1, the test is inconclusive. This test is super handy, and we will get into examples to explain it later.
  2. The Root Test : The root test is similar to the ratio test but it’s used when the terms in the series are raised to powers. Take the nth root of the absolute value of the nth term and find the limit of this expression. If the limit is less than 1, the series converges; if it’s greater than 1, the series diverges; and if it equals 1, the test is inconclusive. This test can be useful in situations where you have terms raised to a power.
  3. The Integral Test : The integral test is applied when the terms of a series can be related to a continuous, decreasing function. If the integral of this function from 1 to infinity converges, the series also converges. If the integral diverges, the series diverges. This is a powerful test that connects series to integral calculus.
  4. Comparison Tests (Direct Comparison and Limit Comparison) : Comparison tests are used to compare the series with another series whose convergence or divergence is known. With the direct comparison test, if the terms of your series are smaller than the terms of a known convergent series, then your series also converges. The limit comparison test involves taking the limit of the ratio of the terms of two series. If this limit is a finite positive number, and one of the series converges/diverges, so does the other. These tests are useful when you can find a series that has a similar structure, allowing you to deduce its behavior.

Practice Makes Perfect: Examples and Applications

Alright, guys, let’s look at some examples to show you how to apply these concepts in real situations. We will focus on calculating limits and determining convergence using different methods.

Example 1: Calculating a Limit Using Factoring

Let’s find the limit of (x^2 - 4) / (x - 2) as x approaches 2. First, try direct substitution: (2^2 - 4) / (2 - 2) = 0/0. So, we cannot apply it. Now, factor the numerator: x^2 - 4 becomes (x - 2)(x + 2). The expression simplifies to (x - 2)(x + 2) / (x - 2). Cancel the (x - 2) terms, leaving x + 2. Now, substitute x = 2 into the simplified expression: 2 + 2 = 4. The limit is 4.

Example 2: Using L’Hôpital’s Rule

Let’s evaluate the limit of sin(x) / x as x approaches 0. By direct substitution, we get 0/0. Apply L’Hôpital’s Rule: take the derivative of sin(x), which is cos(x), and the derivative of x, which is 1. The limit becomes lim (x→0) cos(x) / 1. Substitute x = 0: cos(0) / 1 = 1 1 = 1. Therefore, the limit is 1.

Example 3: Applying the Ratio Test

Let’s determine the convergence of the series ∑ (n=1 to ∞) (n^2 / 2^n). Apply the ratio test. The nth term, a n = n^2 / 2^n. The (n+1)th term, a (n+1) = (n+1)^2 / 2^(n+1). Compute the limit: lim (n→∞) |a_(n+1) / a_n| = lim (n→∞) |((n+1)^2 / 2^(n+1)) / (n^2 / 2^n)|. Simplify: lim (n→∞) |(n^2 + 2n + 1) / (2n^2)|. Divide by n^2: lim (n→∞) |(1 + 2/n + 1/n^2) / 2| = 1 2 . Since 1 2 < 1, the series converges by the ratio test.

These examples show you the application of techniques for calculating limits and determining convergence. Practice as much as you can to get a firm grasp of the concepts. Use the tests provided and try them out with various series and problems.

Real-World Applications and Beyond

Understanding limits and convergence is not just for math class; they have real-world applications! These concepts are essential in fields such as physics, engineering, computer science, and economics. For instance, in physics, limits are used to understand instantaneous velocity and acceleration. Engineers use them to model the behavior of structures and systems. Economists use limits to analyze market trends and growth. So, keep in mind that the stuff you’re learning here has many real-world implications!

As you continue your learning journey, you might encounter more advanced topics, like infinite series, power series, and sequences. These areas build upon the concepts of limits and convergence. Infinite series, for example, are used to represent functions in ways that make them easier to manipulate and solve problems. Power series are special types of infinite series that are used to approximate functions. Understanding convergence is key to working with these types of series.

Final Thoughts: Keep Exploring!

Alright, guys, you’ve now learned the core concepts of calculating limits and determining convergence . You’ve got the tools and techniques you need to tackle these problems. Remember to practice regularly, ask questions when you’re stuck, and explore different examples. Calculus can be challenging, but with persistence, you can do this! Keep exploring, keep learning, and enjoy the amazing world of mathematics. Until next time, keep calculating and keep converging!