Disjoint Set Union (DSU) By Rank: Guide For Coding Ninjas

I.Collectivacademy 64 views
Disjoint Set Union (DSU) By Rank: Guide For Coding Ninjas

Disjoint Set Union (DSU) by Rank: Guide for Coding Ninjas

Hey guys! Ever stumbled upon a problem where you need to efficiently track connections between different elements? Maybe you’re dealing with network connectivity, or perhaps you’re trying to find connected components in a graph. That’s where the Disjoint Set Union (DSU) data structure comes to the rescue! In this guide, we’ll dive deep into DSU, focusing specifically on the “union by rank” optimization. Get ready to level up your coding ninja skills!

What is Disjoint Set Union (DSU)?

Okay, let’s break it down. A Disjoint Set Union (DSU) , also known as a Union-Find data structure, is designed to maintain a collection of disjoint sets. “Disjoint” simply means that no two sets share any common elements. Think of it like separate groups of friends, where no one belongs to more than one group. DSU supports two primary operations:

  • Find(x): Determines which set an element x belongs to. It essentially finds the “representative” or “leader” of the set containing x .
  • Union(x, y): Merges the sets containing elements x and y into a single set. This is like two groups of friends deciding to merge and become one big group.

DSU is incredibly useful for solving problems related to connectivity, network analysis, clustering, and more. Its efficiency makes it a valuable tool in any coding ninja’s arsenal.

Basic Implementation

Before we jump into the “union by rank” optimization, let’s quickly look at a basic implementation of DSU. We typically use an array to represent the parent of each element. Initially, each element is its own parent, meaning they are in their own separate set.

class DSU:
    def __init__(self, n):
        self.parent = list(range(n))

    def find(self, x):
        if self.parent[x] == x:
            return x
        return self.find(self.parent[x])

    def union(self, x, y):
        root_x = self.find(x)
        root_y = self.find(y)
        if root_x != root_y:
            self.parent[root_x] = root_y

In this basic implementation, the find operation recursively traverses up the parent pointers until it reaches the root (the representative) of the set. The union operation finds the roots of the sets containing x and y and then attaches one root to the other. While this works, it can be inefficient in certain cases, leading to a tree-like structure that resembles a linked list, causing the find operation to take O(n) time in the worst case. This is where “union by rank” comes to the rescue!

Union by Rank: Optimizing DSU

The “union by rank” optimization aims to improve the efficiency of the union operation by minimizing the height of the trees representing the sets. The rank of a set is an upper bound on the height of its tree. When merging two sets, we attach the tree with the smaller rank to the tree with the larger rank. This helps to keep the trees relatively flat, which in turn reduces the time it takes to perform the find operation.

How Union by Rank Works

Here’s the breakdown of how “union by rank” works:

  1. Initialize Rank: When creating the DSU, we initialize the rank of each element to 0. This means each element initially represents a tree of height 0.
  2. Compare Ranks: During the union operation, we find the roots of the sets containing the elements to be merged. We then compare the ranks of the two roots.
  3. Attach Smaller Rank to Larger Rank: If the ranks are different, we attach the root with the smaller rank to the root with the larger rank. This ensures that the height of the resulting tree doesn’t increase unnecessarily.
  4. Increment Rank if Ranks are Equal: If the ranks are the same, we attach one root to the other (it doesn’t matter which way), and we increment the rank of the new root by 1. This is because attaching two trees of the same height will result in a tree with a height one greater than the original.

Implementation with Union by Rank

Let’s see how this looks in code:

class DSU:
    def __init__(self, n):
        self.parent = list(range(n))
        self.rank = [0] * n  # Initialize rank to 0 for each element

    def find(self, x):
        if self.parent[x] == x:
            return x
        return self.find(self.parent[x])

    def union(self, x, y):
        root_x = self.find(x)
        root_y = self.find(y)
        if root_x != root_y:
            if self.rank[root_x] < self.rank[root_y]:
                self.parent[root_x] = root_y
            elif self.rank[root_x] > self.rank[root_y]:
                self.parent[root_y] = root_x
            else:
                self.parent[root_y] = root_x
                self.rank[root_x] += 1  # Increment rank if ranks are equal

In this improved implementation, we added a rank array to store the rank of each element. The union operation now compares the ranks of the roots and attaches the tree with the smaller rank to the tree with the larger rank. If the ranks are equal, we increment the rank of the new root.

Path Compression: Another Optimization

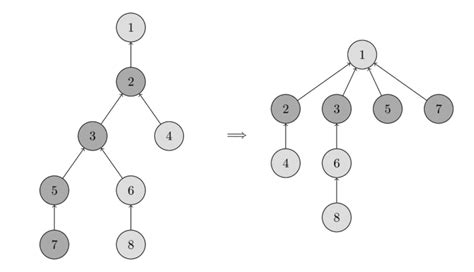
While “union by rank” significantly improves the performance of DSU, we can further optimize it using path compression . Path compression is a technique that flattens the tree structure during the find operation. When we find the root of a set, we update the parent pointer of each node along the path to point directly to the root. This makes subsequent find operations faster.

How Path Compression Works

During the find operation, as we traverse up the parent pointers to find the root, we update the parent pointer of each node we visit to point directly to the root. This effectively flattens the tree structure, making subsequent find operations much faster. The next time we call find on any of those nodes, we’ll go directly to the root in just one step.

Implementation with Path Compression

Let’s modify our find operation to include path compression:

class DSU:
    def __init__(self, n):
        self.parent = list(range(n))
        self.rank = [0] * n

    def find(self, x):
        if self.parent[x] == x:
            return x
        self.parent[x] = self.find(self.parent[x])  # Path compression
        return self.parent[x]

    def union(self, x, y):
        root_x = self.find(x)
        root_y = self.find(y)
        if root_x != root_y:
            if self.rank[root_x] < self.rank[root_y]:
                self.parent[root_x] = root_y
            elif self.rank[root_x] > self.rank[root_y]:
                self.parent[root_y] = root_x
            else:
                self.parent[root_y] = root_x
                self.rank[root_x] += 1

Notice the line self.parent[x] = self.find(self.parent[x]) in the find operation. This is where the magic of path compression happens. It updates the parent pointer of x to point directly to the root, flattening the tree structure.

Time Complexity Analysis

With both “union by rank” and path compression, the time complexity of both the find and union operations becomes almost constant, specifically O(α(n)) , where α(n) is the inverse Ackermann function. The inverse Ackermann function grows incredibly slowly, so for all practical purposes, it can be considered a constant (less than 5 for any reasonable input size).

Therefore, DSU with “union by rank” and path compression provides an incredibly efficient way to manage disjoint sets. This makes it suitable for handling large datasets and complex problems where performance is critical.

Use Cases of Disjoint Set Union

DSU is a versatile data structure with numerous applications in computer science and engineering. Here are a few examples:

  • Kruskal’s Algorithm: Finding the minimum spanning tree of a graph. DSU is used to efficiently track connected components as edges are added to the tree.
  • Network Connectivity: Determining whether two computers in a network are connected. DSU can be used to maintain the connected components of the network as connections are established and broken.
  • Image Segmentation: Grouping pixels in an image into regions based on their color or texture. DSU can be used to efficiently merge adjacent regions that satisfy certain criteria.
  • Social Network Analysis: Identifying communities or clusters of users in a social network. DSU can be used to track connections between users and merge groups of users who are closely connected.
  • Maze Generation: Creating random mazes using algorithms that involve carving paths between cells. DSU ensures that all cells are connected in the final maze.

Conclusion

Alright, coding ninjas, you’ve now conquered the Disjoint Set Union (DSU) data structure with the “union by rank” optimization! You’ve learned how DSU works, how to implement it efficiently using “union by rank” and path compression, and how to apply it to solve a variety of problems. So go forth and use your newfound knowledge to tackle challenging coding problems and build amazing applications! Keep practicing, keep learning, and keep honing your coding ninja skills!