IFRS 15 Explained: A BDO Summary Guide

I.Collectivacademy 112 views
IFRS 15 Explained: A BDO Summary Guide

IFRS 15 Explained: A BDO Summary Guide

Hey guys! Let’s dive into the nitty-gritty of IFRS 15 Revenue from Contracts with Customers . It’s a super important standard that has pretty much reshaped how companies around the globe recognize revenue. And let me tell ya, understanding it can feel like navigating a maze, but that’s where a good summary, like one from BDO, comes in handy! This guide is all about breaking down IFRS 15 in a way that’s easy to digest, focusing on the core principles and how they apply in the real world. We’ll be covering the key steps, common pitfalls, and why this standard is such a big deal for your business’s financial reporting. So, buckle up, because we’re about to make sense of revenue recognition together!

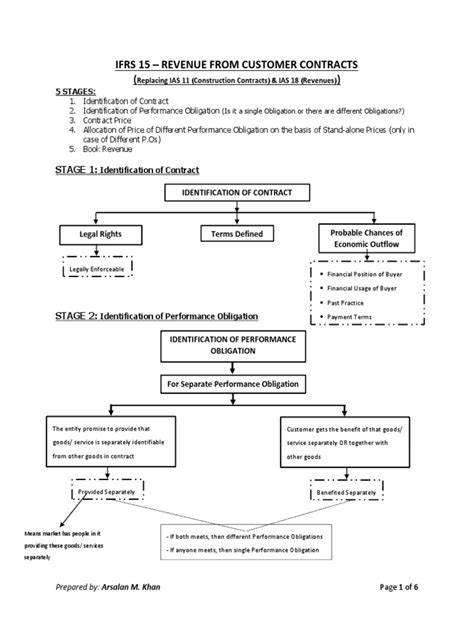
The Core Principle: Five Steps to Revenue Recognition

At its heart, IFRS 15 Revenue from Contracts with Customers is all about ensuring that revenue is recognized when control of promised goods or services is transferred to the customer, in an amount that reflects the consideration the entity expects to be entitled to in exchange for those goods or services. Pretty straightforward, right? Well, the complexity lies in the application. IFRS 15 lays out a five-step model that companies must follow. This model is the backbone of the standard, and understanding each step is crucial for accurate revenue recognition.

Step 1: Identify the Contract(s) with a Customer

First things first, you need to identify if a contract exists. This sounds simple, but there are specific criteria that need to be met. According to IFRS 15, a contract is an agreement between two or more parties that creates enforceable rights and obligations. Key elements include: mutual consent , clearly identifiable rights and obligations , specified payment terms , and commercial substance . The contract can be written, oral, or implied by customary business practices. It’s also important to consider if separate contracts need to be combined and accounted for as a single contract. This usually happens when they are negotiated as a package deal, linked in a way that affects the pricing or performance, or represent a single overall objective. Guys, don’t overlook this step! A misidentification of a contract or a group of contracts can throw off your entire revenue recognition process. Think about it – if you’re not even dealing with a proper contract, the subsequent steps won’t make sense, and your financials could be misleading. For instance, a company might have a verbal agreement with a client for services. While it might feel like a contract, you need to ensure it meets all the criteria for enforceability and clearly defined terms before proceeding. If multiple agreements are signed with the same customer around the same time, it’s vital to assess whether they should be bundled together. This often comes down to whether the contracts are commercially interdependent. If one contract significantly affects the pricing or performance obligations of another, they likely need to be combined. This analysis is crucial because combining contracts can alter the timing and amount of revenue recognized. So, take your time, be thorough, and make sure you’ve got a solid foundation before moving on to the next stage. It’s all about setting the right baseline for your revenue recognition journey.

Step 2: Identify the Performance Obligations in the Contract

Once you’ve got your contract sorted, the next big thing is to identify what you’re actually promising to deliver. These are your performance obligations . Think of them as the distinct goods or services that the company commits to transfer to the customer. A good or service is considered distinct if: (a) the customer can benefit from the good or service on its own or together with other resources that are readily available to the customer, and (b) the promise to transfer the good or service is separately identifiable from other promises in the contract. This latter point is key – it means the good or service isn’t an input to a combined item, it doesn’t significantly modify another good or service, or it isn’t highly interdependent with other promises. So, what does this mean in practice, guys? It means you really need to dig into the contract and understand each element being provided. Are you selling a software license and also providing implementation services? If those are distinct, they’re separate performance obligations. If the software is useless without the implementation, they might be bundled. This step is critical because each distinct performance obligation will be accounted for separately, affecting how and when revenue is recognized. Companies often struggle here, especially with complex contracts involving multiple deliverables. The temptation might be to treat everything as one big package, but IFRS 15 forces a more granular approach. For example, a construction company might have a contract to build a house and also provide landscaping services. If the house can be used without the landscaping, and the landscaping is a separate service the customer could source elsewhere, they are likely distinct performance obligations. However, if the landscaping is integral to the house’s structure or usability, they might not be. The key is to ask: Can the customer benefit from this item on its own? And: Is this promise separate from the others? Getting this wrong can lead to misallocating revenue between different parts of the deal, which can distort performance metrics and financial results. So, be diligent, review those contract terms carefully, and make sure you’re identifying all the promises you’re making to your customers. It’s the foundation for correctly measuring the transaction price later on.

Step 3: Determine the Transaction Price

Alright, we’ve identified the contract and what we’re delivering. Now, let’s talk money! Step 3 is all about determining the transaction price. This is the amount of consideration an entity expects to be entitled to in exchange for transferring promised goods or services. This sounds simple, but it gets tricky when variable consideration is involved. Think about discounts, rebates, performance bonuses, or penalties. You need to estimate these amounts and include them in the transaction price only to the extent that it is highly probable that a significant reversal of the cumulative amount of revenue recognized will not occur when the uncertainty associated with the variable consideration is resolved. This is a big one, folks! Variable consideration is common in many industries, and estimating it requires judgment. You might use an expected value method (summing the probability-weighted amounts in a range of possible outcomes) or a most likely amount method . Whichever method you use, the key is the