Understanding Sigma Over Square Root Of N: A Beginner's Guide

I.Collectivacademy 49 views
Understanding Sigma Over Square Root Of N: A Beginner's Guide

Understanding Sigma Over Square Root of N: A Beginner’s Guide

Hey everyone! Ever stumbled upon the term Sigma (σ) over the square root of n in the world of statistics or data analysis and felt a little lost? Don’t worry, you’re definitely not alone! It might seem intimidating at first glance, but trust me, it’s a concept that becomes much clearer once you break it down. In this guide, we’ll dive deep into what this expression means, why it’s used, and how it plays a crucial role in understanding data and drawing meaningful conclusions. We’ll explore it in a way that’s easy to grasp, even if you’re just starting your journey into the world of statistics. So, let’s get started and unravel the mystery behind Sigma (σ) over the square root of n !

Demystifying Sigma (σ)

Alright, first things first: let’s tackle the symbols! The Greek letter sigma, represented by σ , is a cornerstone of statistics. It’s the symbol for the standard deviation . Think of standard deviation as a measure of how spread out your data is. A low standard deviation means the data points are clustered closely together, while a high standard deviation indicates that the data points are more dispersed. It’s essentially a way to quantify the variability within a dataset. Imagine you have two sets of exam scores. Set A has scores ranging from 80 to 90, and Set B has scores ranging from 50 to 100. Set B would have a higher standard deviation because the scores are spread out more. This helps us understand the consistency and reliability of our data. So, when you see sigma, remember that it’s all about understanding the spread or variability in your data. It’s a key ingredient in many statistical calculations and helps us make informed decisions based on the data we have.

Now, let’s talk about the square root of n . Here, n represents the sample size , meaning the number of observations or data points in your sample. The square root comes into play because we’re often dealing with the distribution of sample means. By taking the square root, we account for the fact that as the sample size increases, the variability of the sample means decreases. This relationship is critical in inferential statistics, where we use sample data to draw conclusions about a larger population. The larger the sample size, the more confident we can be in our estimates. The square root helps us scale the standard deviation to accurately reflect this relationship. Think of it like this: the more people you survey, the closer you get to the true picture of what the whole population thinks. So, the square root of n helps us adjust for the impact of sample size on the precision of our estimates.

Putting it Together: Sigma Over Square Root of N

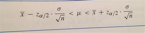
So, what happens when we combine sigma and the square root of n ? You get the standard error of the mean , often written as σ/√n . This is a crucial concept in statistics because it tells us how much the sample mean is likely to vary from the true population mean. It’s a measure of the precision of our estimate of the population mean. In essence, it quantifies the uncertainty we have when we use a sample to represent a larger group. A smaller standard error means our sample mean is a more reliable estimate of the population mean, whereas a larger standard error indicates more variability and less confidence in our estimate. Understanding the standard error is vital for making sound judgments and drawing meaningful conclusions from data. It helps us evaluate how much our sample mean might differ from the actual population value. So, the standard error is your go-to when you want to know how accurate your sample mean is as an approximation of the population mean. This is extremely valuable when you are attempting to make a decision or hypothesis.

Why is σ/√n Important?

So, why should you care about σ/√n ? Well, it’s fundamental to many statistical concepts and applications. Here are some key reasons why it’s so important:

  • Confidence Intervals: σ/√n is a critical component in calculating confidence intervals. Confidence intervals provide a range of values within which we are confident the true population mean lies. The smaller the standard error, the narrower the confidence interval, and the more precise our estimate of the population mean. This is crucial for making informed decisions based on sample data. When you want to be sure you are correct in your estimations, this is your go-to formula.
  • Hypothesis Testing: When you’re testing a hypothesis, σ/√n is used to calculate test statistics, such as the t-statistic. The test statistic helps us determine whether the observed results are statistically significant, meaning they are unlikely to have occurred by chance. The smaller the standard error, the more likely we are to detect a real effect if one exists. This is your foundation for understanding if there is a relationship between sets of data and to what extent.
  • Understanding Sampling Variability: σ/√n helps us understand how much the sample mean is likely to vary from the population mean due to random sampling. It’s a measure of the uncertainty in our estimate of the population mean, and it’s essential for assessing the reliability of our results. You’ll understand the nature of the data you are attempting to use to make a decision.
  • Real-World Applications: In fields like finance, healthcare, and market research, σ/√n is used to make informed decisions. For example, it can be used to estimate the average return of an investment, the effectiveness of a new drug, or the preferences of consumers. It is used to make key decisions. In financial models, this formula is used to gauge risk.

Practical Examples

Let’s walk through a few practical examples to show you how σ/√n works in the real world:

  • Example 1: Polling Data: Imagine a political poll asking 1,000 people about their voting preferences. The sample standard deviation of the responses (e.g., whether someone supports a candidate) is calculated. Then, the standard error of the mean is calculated using σ/√n . This helps determine the margin of error for the poll, which is crucial for interpreting the results and understanding how confident we are in the poll’s predictions.
  • Example 2: Medical Research: A medical study tests a new drug on a sample of patients. Researchers measure a key outcome variable (e.g., blood pressure reduction) and calculate the standard deviation of the changes. The standard error of the mean helps them determine how much the average blood pressure reduction in the sample might differ from the average reduction in the entire patient population. This helps to determine if the drug is effective or not.
  • Example 3: Market Research: A company conducts a survey to determine consumer satisfaction with a new product. They calculate the standard deviation of satisfaction scores and then use σ/√n to estimate the average satisfaction level in the broader customer base. The company can then use this to improve the product.

Tips for Understanding and Using σ/√n

To make sure you understand the concepts better, here are some helpful tips:

  • Practice with Real Data: The best way to understand σ/√n is to work with real datasets. This allows you to apply the formula and see how it works in different contexts. Play around with data, and you will understand more. Start with a dataset you are interested in. This makes the learning more fun and relevant.
  • Use Statistical Software: Tools like R, Python, and Excel can help you calculate the standard deviation and standard error of the mean quickly. These tools can automate calculations, allowing you to focus on interpreting the results. These tools can handle large amounts of data.
  • Visualize the Data: Create histograms, box plots, and other visualizations to get a better sense of the data’s distribution and variability. Visual aids help you see patterns and understand the impact of different values. Seeing is believing, so get the visual aids to help you understand better.
  • Focus on the Conceptual Understanding: Don’t just memorize the formula. Focus on understanding what σ/√n represents and how it relates to your data and your research questions. Memorization will only get you so far, so build a foundation of the concepts. This will help you see the bigger picture. When you focus on concepts, the applications will fall into place.
  • Ask for Help: Don’t be afraid to seek help from instructors, mentors, or online forums. Asking questions is a great way to deepen your understanding and clarify any confusion. The worst thing you can do is not to ask questions.

Conclusion

So, there you have it! Understanding Sigma (σ) over the square root of n is a crucial step towards understanding the basics of statistics. By grasping the concepts of standard deviation, sample size, and standard error, you’ll be better equipped to analyze data, draw informed conclusions, and make more accurate predictions. Keep practicing, exploring, and asking questions, and you’ll become a statistics pro in no time! Keep in mind that understanding statistical concepts takes time and practice. Don’t worry if it doesn’t click immediately. The more you work with data, the more comfortable you’ll become. Good luck, and happy analyzing!